n engl j med 377;16 nejm.org October 19, 2017
- 乾癬性関節炎(PsA)は末梢性関節炎、付着部炎、指尖炎、体軸病変、皮疹を呈する疾患である
- 症状によって、推奨される治療が異なる(皮膚局所の治療、NSAIDs、csDMARDs、tsDMARDs、bDMARDsなど)
- TNF阻害薬がcsDMARDs抵抗性の重症病変、腱付着部炎、体軸病変に対する現在の標準治療である
- しかしながら、その有効性は一部の患者では限られている
- トファシチニブ(Tofa)は経口JAK阻害薬であり、PsAに対してはこれまで検討されていなかった
- 既報では、乾癬性関節炎の皮膚病変の線維芽細胞に対して、Tofaは、有意にpSTAT3, pSTAT1, NFκBp65の発現を低下させ、suppressor of cytokine signaling-3 (SOCS3)と活性化STAT3の阻害蛋白を増加させた。
- また、JAKを阻害することで、PsAの関節炎、関節外病変を改善させた
- 今回、the Oral Psoriatic Arthritis Trial (OPAL) 試験の結果を報告する
- 少なくとも1種類のTNF阻害薬に抵抗性の、活動性PsA患者に対するTofaのランダム化、phase3試験である
方法
- 対象
- 18歳以上
- 6ヶ月以上前にPsAと診断され、CASPAR基準を満たす
- 活動性の皮疹、関節炎(腫脹関節数 ≧ 3、圧痛関節数 or 自覚的な痛みを伴う関節数≧ 3)
- 少なくとも1種類のTNF阻害薬に対して治療抵抗性 or 有害事象のため中断
- 試験デザイン
- 介入期間6ヶ月間のランダム化プラセボ対象比較試験、二重盲検、多施設、phase3
- 2013年6月〜2016年4月に実施
- 割付
- 2:2:1:1
- Tofa 5mg 1日2回 6ヶ月間
- Tofa 10mg 1日2回 6ヶ月間
- placebo 3ヶ月間 → Tofa 5mg 1日2回 3ヶ月間
- placebo 3ヶ月間 → Tofa 10mg 1日2回 3ヶ月間
- 全例、試験期間中はcsDMARDsを単剤で維持量で使用
- primary endpoint
- 3ヶ月時点でのACR20達成率
- 3ヶ月時点でのHAQ-DI20%以上改善達成率
結果
- 546人をスクリーニングし、394人が割り付けられた(figure1)
- baseline characteristics(table1)
- ランダム化されたが、Tofa 10mg群でややTender or painful JC多い
- csDMARDsはMTXが70%程度(平均用量14mg/w)
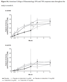
- 有効性(table2, Figure2)
- 3ヶ月時点でのACR20達成率
- Tofa 5mg群:50%
- Tofa 10mg群:47%
- placebo群:24%
- Tofa群それぞれplacebo群と比較しいずれも p < 0.001
- baselineからのΔHAQ-DI
- Tofa 5mg群:-0.39
- Tofa 10mg群:-0.35
- placebo群:-0.14
- Tofa群それぞれplacebo群と比較しいずれも p < 0.001
- ACR20達成率に関して、week2 時点でTofa群が有意にplacebo群よりも高い(figure2)
- Tofa 5mg群:p=0.005
- Tofa 10mg群:p=0.001
- これまでに使用したTNF阻害剤の数ごとの有効性は下図
- ACR20達成率はTNF製剤使用数が少ないほうが達成率が高いが、HAQ-DIはこれまでのTNF製剤使用数に関係なさそう
- 3つ以上使っていても効果が得られない患者群において、ACR20達成率はTofa10mg群の方が高い傾向にある
- ACRコアセットごとの違いは下の通り
- いずれも早期からTofaの有効性が発揮されているが、特にPGAなど主観的項目において効果発現が早い
- 3ヶ月時点でのACR50達成率もTofa群で有意に高い
- 3ヶ月時点でのACR70は有意差なし
- 腱付着部炎、指尖炎の評価
- Leeds Enthesitis Index(LEI)
- SpondyloArthritis Research Consortium of Canada enthesitis index(SPARCC)
- Dactylitis Severity Score
- Tofa群で1ヶ月から有意に改善
※Leeds Enthesitis Index(LEI)
以下を両側(計6ヶ所)評価し、圧痛あり1点でScore 0-6 点
- 両側外側上顆
- 両側大腿骨内顆
- 両側アキレス腱付着部
※SpondyloArthritis Research Consortium of Canada enthesitis index(SPARCC)
以下を両側(計16ヶ所)評価し、圧痛あり1点でScore 0-16 点
- 両側大転子部
- 両側アキレス腱、両側足底腱膜の踵骨付着部
- 両側膝蓋腱の膝蓋骨付着部
- 両側大腿四頭筋の膝蓋骨上端部への付着部
- 両側棘上筋の上腕骨大結節への付着部
- 両側肘内側、外側上顆
1. Use separate sheet for each patient encounter
2. Record date
3. Record patient details
4. Indicate on diagram which digits are affected
5. Measure circumference of affected digits either with a tape or precalibrated
loop at the level of the proximal phalanx
6. Measure circumference of contralateral digit at same level
7. If contralateral digit is involved, use appropriate value from table
8. Squeeze affected digit with moderate pressure (enough to blanch
examiner’s nailbed) and record response: 0 = no tenderness; 1 = tender;
2 = tender and winces; 3 = tender and withdraws
9. Perform calculation for each digit and record result
10. Add score to give grand total.
The instrument is quick and easy
- 患者の主観的な倦怠感、QOLに関して
- Tofa群で1ヶ月から有意に改善
- 有害事象
- 3ヶ月間に有害事象が生じた割合
- Tofa 5mg群:55%
- Tofa 10mg群:53%
- placebo群:44%
- 有意にTofa群で多い
- 3ヶ月間に重度有害事象が生じた割合
- Tofa 5mg群:1%
- Tofa 10mg群:2%
- placebo群:2%
- 6ヶ月間に有害事象が生じた割合
- Tofa 5mg群:71%
- Tofa 10mg群:73%
- placebo→Tofa 5mg群:61%
- placebo→Tofa 10mg群:58%
- 重度有害事象の割合と、有害事象により治療を中断した割合
- Tofa 5mg 6ヶ月間継続群:4%, 4%
- Tofa 10mg6ヶ月間継続群:6%, 8%
- placebo→Tofa 5mg群:3%, 3%
- placebo→Tofa 10mg群:2%, 5%
- Tofa 6ヶ月間使用群にて
- 重症感染症:4例
- 帯状疱疹:3例
- 心筋梗塞:1例
- 脳梗塞:1例
- 最も多い有害事象は上気道感染症
- Tofa 5mg 6ヶ月間継続群:9%
- Tofa 10mg6ヶ月間継続群:5%
- placebo→Tofa 5mg群:6%
- placebo→Tofa 10mg群:11%
- 3ヶ月時点でのHb, Lym数は3群とも同等
- 以下はTofa用量依存性に認めた
- 好中球数低下
- 血小板低下
- Cr増加
- CK増加
- LDL増加、HDL増加、TG増加
- 6ヶ月間で、肝酵素増加は30%程度
- 正常上限より3倍以上増加したのはわずか
- 薬剤性肝障害と診断された例はなし
まとめ
- TNF製剤にて治療抵抗性のPsAに対して、Tofaは、primary endpoint(ACR20, HAQ-DI)に関して両者とも有意にplaceboよりも優れていた
- 2週間時点という早期より、ACR20は有意に多く達成していた
- PASIを用いた皮膚病変の有効性では、統計学的有意差を持ってplaceboh群より改善していたのは、Tofa10mgのみ
- 今回のTofaでのACR20, 50, 70達成率は、IL-12/23、IL-17阻害薬と同等以上だった
- 既報
- usutekinumab(ACR20達成率:24週間時点)
- 35.6% vs. 14.5%(placebo)
- secukinumab(ACR20達成率:24週間時点、75mg, 100mg, 150mgの順に)
- 14.7%, 29.7%, 45.5% vs. 14.3%(placebo)
- 有害事象はTofa 10mg>5mgで多かった

















私が神と非常に深く個人的な関係を持っていることは秘密ではありません。去年、ヘルペスと一緒に生活しなければならなかったすべてのでたらめを通してその関係を押して抵抗しましたが、神は私の頑固さよりも大きく、そのヘルペスと性器ヘルペスのすべてを突破しました。個人的には、自分がどれほど良くないかを何度も何度も聞くことは、可能な限り最悪の方法で私の心に侵入しました。私は完全にシャットダウンし、このように人生が一時的なヘルペスの大流行を終わらせようとしているように目を覚ましていました。
返信削除漢方薬にノーと言うのはco病です。それは恐怖に基づいています。そして、それは私の心が望むものに対して不誠実です。自分の周りに壁を作らないでください。特に健康上の問題や治療法に関しては、ハーブが作られたり、大胆な一歩を踏み出すことを恐れています。多くの若い男性/女性が何度も何度も私に言います、イトゥア博士は私を詐欺するつもりです、しかし今日私は彼に試みを与えます私は誰も漢方薬について私を納得させないだろうと感じていますわずか2週間飲んで、私は1年と数ヶ月間住んでいますが、今はアウトブレイクを経験していません、ヘルペス、統合失調症、癌、脊柱症、線維筋痛症、フルオロキノロンなどの病気のために彼の漢方薬が必要な場合は彼に連絡できます毒性症候群線維異形成症進行性。致命的な家族性不眠症第5因子ライデン突然変異、てんかんデュピュイトラン病、線維形成、糖尿病、セリアック病、クロイツフェルト・ヤコブ、ライム病、てんかん、病気、Co病、コプシー、アルツ、骨異形成症男性/女性不妊症、腸疾患、ハンチントン病、糖尿病、子宮筋腫。疾患、ループス、リポイド蓄積症(ゴーシェ病)、多嚢胞性疾患、脳アミロイド血管障害、運動失調、肝硬変、関節炎、筋萎縮性側索硬化症、アルツハイマー病、副腎皮質癌。喘息、アレルギー、HIV、てんかん、不妊、。 Email..drituaherbalcenter @ gmail.com then what app。+ 2348149277967 ....そこにいる病気の男性/女性に対する私のアドバイスは簡単です...常に開かれた本になりましょう。あなた自身、あなたの状況、そしてあなたが何をしているのかについて正直にいじってください。何も遠慮しないでください。持ちこたえると、どこにも行けなくなります...たぶん、孤独なビルへの片道チケットであり、それはあなたが行きたい場所ではありません。だから私の最後の真実...そして私はこれを理解し始めたところです。